Beranda
/ Cara Mencari Determinan Matriks 3X3 : Contoh Soal Menentukan Determinan Matriks : Determinan matriks ordo 3 3 terdapat dua cara dalam menghitung determinan untuk matriks berordo 3x3 yaitu.
Cara Mencari Determinan Matriks 3X3 : Contoh Soal Menentukan Determinan Matriks : Determinan matriks ordo 3 3 terdapat dua cara dalam menghitung determinan untuk matriks berordo 3x3 yaitu.
Cara Mencari Determinan Matriks 3X3 : Contoh Soal Menentukan Determinan Matriks : Determinan matriks ordo 3 3 terdapat dua cara dalam menghitung determinan untuk matriks berordo 3x3 yaitu.. Gak sampai disitu saya juga akan memberikan tips tips atau cara cepat maupun cara cerdas dalam mengerjakan soal dalam vidio. Artikel kali ini membahas mengenai cara cepat menyelesaikan determinan dari matriks diagonal, determinan matriks diagonal ini merupakan determinan khusus dalam deteminan matriks. Misalkan, adalah matriks berordo 3x3. Apa ada cara menghitung determinan matriks yang berordo 2 × 3. Cara mencari determinan matriks 3x3.
Selanjutnya saya akan menjelaskan cara menemukan inversi matriks 22. About press copyright contact us creators advertise developers terms privacy policy & safety how youtube works test new features press copyright contact us creators. Jadi matriks bisa disebut juga susunan bilangan berurut. Gunakan cara cepat untuk matriks segitiga. Cara mencari invers matriks ordo 2x2 cara mencari invers matriks ordo 3x3.
Determinan Matriks 3x3 Metode Sarrus Dan Minor Kofaktor from imgv2-2-f.scribdassets.com Pada saat kalian duduk di bangku sekolah menengah keatas kelas x kalian akan mulai diajarkan mengenai matriks oleh guru matematika kalian. Nilai ini secara teoritis diperoleh dari : Cara membalik matriks 3x3 2 metode:cara klasik mencari invershasil perkalian skalar (menggunakan aljabar grassmann) mencari invers matrik 3x3 secara manual adalah pekerjaan yang membosankan. Pembahasan determinan matriks ordo 3x3 cara menghitung determinan. Cara mencari minor matriks ordo 3x3 sebelum kita bahas tentang cara mencari minor matriks ordo 3x3,. Apa ada cara menghitung determinan matriks yang berordo 2 × 3. Cara mencari determinan matriks 3x3. Gak sampai disitu saya juga akan memberikan tips tips atau cara cepat maupun cara cerdas dalam mengerjakan soal dalam vidio.
Untuk kalian materi ini akan kalian dapatkan ketika dudukdi bangku sekolah menengah keatas kelas x, pada semester genap kalian akan diajarkan mengenai determinan dari.
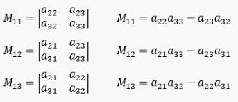
Berikut terdapat beberapa sifat sifat dari matriks persegi yang mempunyai invers. Contoh soal determinan matriks ordo 3x3 dan pembahasannya. Ya, apalagi kalau bukan metode operasi baris elementer. Cara mencari determinan matriks 3x3. Minor = m k ( 3 1 2 5 1 4 5 2 6 ) o baris l o m mij = Determinan metode sarrus ciri khas metode sarrus adalah pola perkalian. Dan juga cara cepat menghitung determinan matriks 3x3 yang mempunyai satu, dua, dan tiga elemen nol. Matriks adalah kumpulan dari angka angka yang disusun dalam baris dan kolom. * hitung determinan matriks diatas ! Artikel kali ini membahas mengenai cara cepat menyelesaikan determinan dari matriks diagonal, determinan matriks diagonal ini merupakan determinan khusus dalam deteminan matriks. Pembahasan determinan matriks ordo 3x3 cara menghitung determinan. Rumus cepat invers matriks 3x3 guru ilmu sosial. Apa ada cara menghitung determinan matriks yang berordo 2 × 3.
Sarrus minor kofaktor adjoin dari keempat langkah hanya adjoin yang belum dibahas. Pada kasus khusus ini, determinan merupakan hasil dari elemen pada diagonal utama, dari a 11 di kiri atas hingga a 33 di kanan bawah matriks. Artikel kali ini membahas mengenai cara cepat menyelesaikan determinan dari matriks diagonal, determinan matriks diagonal ini merupakan determinan khusus dalam deteminan matriks. Sebenarnya ada beberapa cara untuk mencari determinan matriks tetapi untuk pembahasan kita kali ini kita hanya akan membahas tentang menghitung determinan matriks yang berordo 3 x 3 dengan memakai metode sarrus. Ya, apalagi kalau bukan metode operasi baris elementer.
Determinan Matriks 3x3 Metode Sarrus Dan Minor Kofaktor from imgv2-2-f.scribdassets.com A‾¹ = invers matriks (a) det (a) = determinan matriks (a) adj (a) = adjoin matriks (a) 1. Untuk kalian materi ini akan kalian dapatkan ketika dudukdi bangku sekolah menengah keatas kelas x, pada semester genap kalian akan diajarkan mengenai determinan dari. Cara menghitung determinan matriks 3x3 dengan metode sarrus yaitu melalui 6 jalur perkalian silang. 2 2 contoh 4 menggunakan aturan cramer youtube. Gak sampai disitu saya juga akan memberikan tips tips atau cara cepat maupun cara cerdas dalam mengerjakan soal dalam vidio. Kali ini saya akan memberikan cara mencari determinan matriks 3x3 dengan teorema laplace reduksi menurut baris / kolom. Category › bahasa c/c++, kuliah, program. Determinan matriks ordo 2×2 3×3 nxn dan contoh soalnya.
Pembahasan determinan matriks ordo 3x3 cara menghitung determinan.
Ya, apalagi kalau bukan metode operasi baris elementer. Gunakan cara cepat untuk matriks segitiga. Misalkan, adalah matriks berordo 3x3. Determinan matriks ordo 2×2 3×3 nxn dan contoh soalnya. Langkah bagian 1 dari 2: Untuk mencari determinan matriks, ada baiknya kita terlebih dahulu mengetahui definisi dari suatu matriks matematika. Gak sampai disitu saya juga akan memberikan tips tips atau cara cepat maupun cara cerdas dalam mengerjakan soal dalam vidio. About press copyright contact us creators advertise developers terms privacy policy & safety how youtube works test new features press copyright contact us creators. Unknown wednesday, march 7, 2012 berikut ini adalah cara membuat program menentukan determinan matriks 3x3 dengan bahasa c/c++. Dan juga cara cepat menghitung determinan matriks 3x3 yang mempunyai satu, dua, dan tiga elemen nol. Informa i penuli x ini adalah wiki, yang berarti bahwa banyak artikel kami dituli oleh banyak penuli. * hitung determinan matriks diatas ! Ada beberapa cara menghitung determinan matriks 3x3, yaitu metode sarrus pdf, metode ekspansi kofaktor, dan metode obe bagian pertama ini akan menjelaskan cara menentukan video determinan matriks 3x3 metode sarrus.
Determinan matriks ordo 3 3 terdapat dua cara dalam menghitung determinan untuk matriks berordo 3x3 yaitu. Matriks adalah susunan bilangan yang disusun dalam baris dan kolom sehingga berbentuk persegi panjang. Berikut konsep determinan untuk matriks ordo 2x3 dan 3x3. * hitung determinan matriks diatas ! Tuliskan matriks 3 x 3.
Cara Menghitung Determinan Matriks Metode Sarrus Dan Kofaktor Halaman All Kompas Com from asset.kompas.com Selanjutnya, saya akan menjelaskan cara menemukan inversi matriks 2×2. Cara mencari determinan matriks yang mudah. Minor = m k ( 3 1 2 5 1 4 5 2 6 ) o baris l o m mij = About press copyright contact us creators advertise developers terms privacy policy & safety how youtube works test new features press copyright contact us creators. Artikel kali ini membahas mengenai cara cepat menyelesaikan determinan dari matriks diagonal, determinan matriks diagonal ini merupakan determinan khusus dalam deteminan matriks. Dari formula tersebit diperoleh nilai determinan matriks a sebesar 20. Sebenarnya ada beberapa cara untuk mencari determinan matriks, tetapi untuk pembahasan kita kali ini kita hanya akan membahas tentang menghitung determinan matriks yang berordo 3 x 3 dengan memakai metode sarrus. Matriks adalah kumpulan dari angka angka yang disusun dalam baris dan kolom.
Rumus cepat invers matriks 3x3 guru ilmu sosial.
Gunakan cara cepat untuk matriks segitiga. Tetapi hal ini memiliki beberapa kegunaan, termasuk menyelesaikan berbagai persamaan matriks. Dan untuk letak tiap minornya adalah bergantung pada elemen yang menjadi titik pertemuan. Informa i penuli x ini adalah wiki, yang berarti bahwa banyak artikel kami dituli oleh banyak penuli. Matriks tidak jauh berbeda dengan bilangan karena dapat dioperasikan dengan berbagai macam operasi. Determinan matriks dengan metode sarrus dapat ditentukan dengan menuliskan kembali komponen matriks a dan menambahkan 2 kolom pada sebelah kanan yang berisi elemen 2 kolom pertama pada bentuk umum metode sarrus dalam mencari determinan matriks 3x3 adalah sebagai berikut penyelesaian determinan matriks ordo 3 x 3 dala tiga langkah sederhana. Pembahasan determinan matriks ordo 3x3 cara menghitung determinan. Jadi matriks bisa disebut juga susunan bilangan berurut. Dan juga cara cepat menghitung determinan matriks 3x3 yang mempunyai satu, dua, dan tiga elemen nol. Matriks adalah susunan bilangan yang disusun dalam baris dan kolom sehingga berbentuk persegi panjang. Untuk kalian materi ini akan kalian dapatkan ketika dudukdi bangku sekolah menengah keatas kelas x, pada semester genap kalian akan diajarkan mengenai determinan dari. 2 2 contoh 4 menggunakan aturan cramer youtube. Oke, bisa dilihat soal dibawah ini.
Berbagi
Posting Komentar
untuk "Cara Mencari Determinan Matriks 3X3 : Contoh Soal Menentukan Determinan Matriks : Determinan matriks ordo 3 3 terdapat dua cara dalam menghitung determinan untuk matriks berordo 3x3 yaitu."
Posting Komentar untuk "Cara Mencari Determinan Matriks 3X3 : Contoh Soal Menentukan Determinan Matriks : Determinan matriks ordo 3 3 terdapat dua cara dalam menghitung determinan untuk matriks berordo 3x3 yaitu."